• Мы снова онлайн. Но сайт нуждается в поддержке.
  • Вы можете поддержать нас криптовалютой ZEC: t1bkM72pLFRZyn5iPJkk2ccGv12Ly3CbyNY
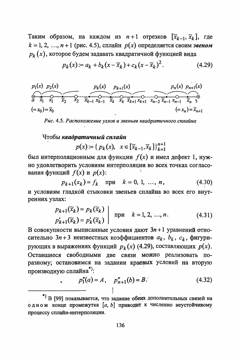
Страница 137 из 402

Перейти к файлу

Новинки сайта

Дирижабли. Формат: djvu 0 Добавленно: 30 Jul 2016 Последнее поступление.